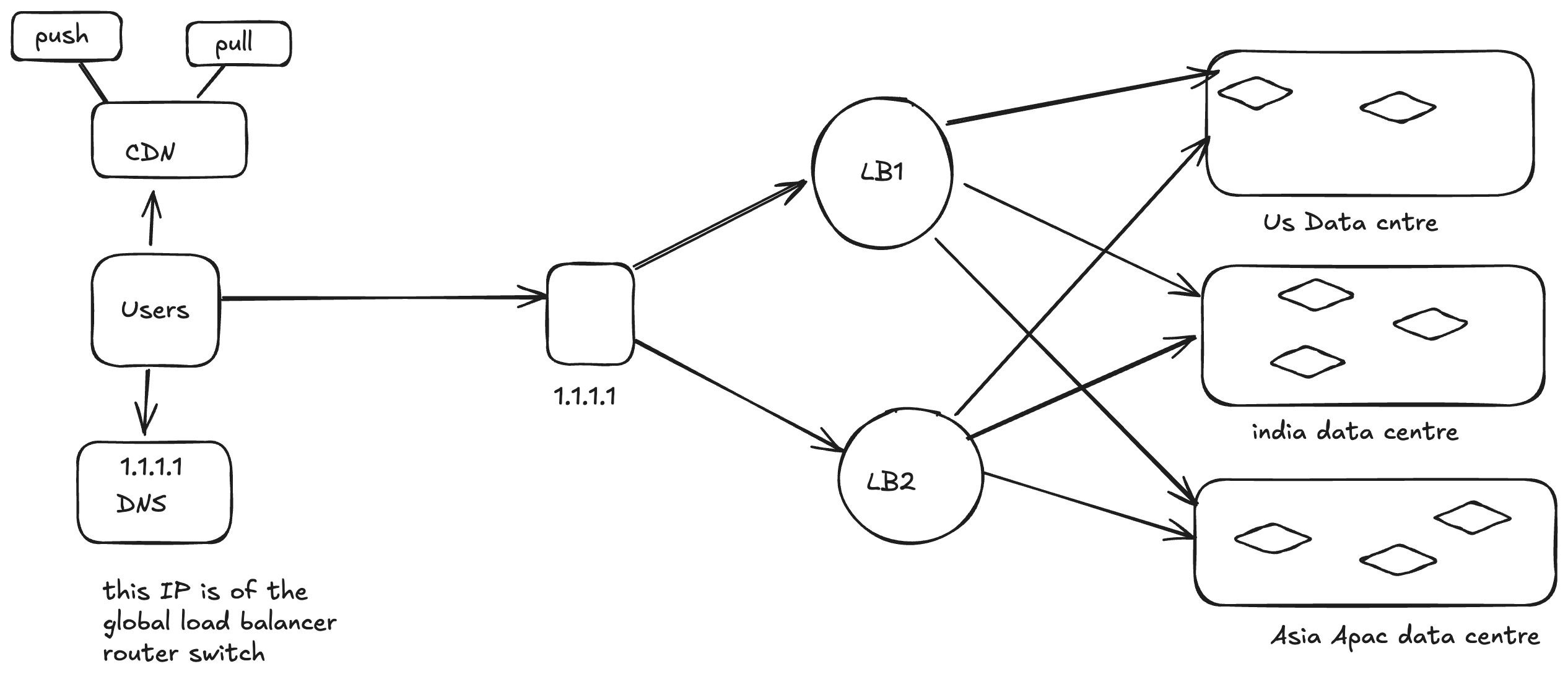
How does Load Balancer works?
Load balancer uses an algorithm to forward the request to the different based on some filters.
- CPU based algorithm
- round robin technique
- Load balancer also keeps the heart beat to check if services connected to it are working fine.
- global load balancers distributes the request based on IP and geographical locations.
